- -7%
- Rupture de stock


Connectez-vous à votre compte
Panier
Trouvez les pièces compatibles avec votre moto


Permet la suppression du catalyseur - Se monte uniquement avec silencieux Termignoni.
Non homologué sur voie publique.
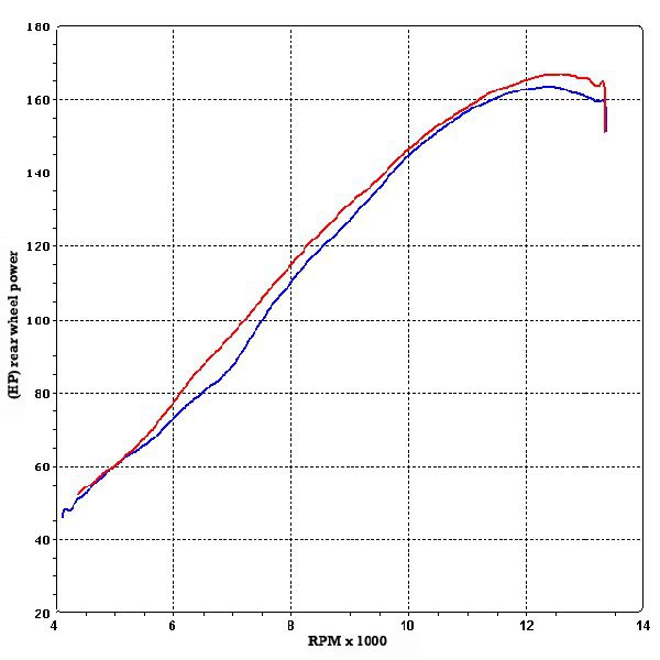
Pour décatalyser votre GSX-R 1000, Termignoni a développé une tube d'échappement intermédiaire réalisé en titane qui permettra la suppression du catalyseur et la monte de la sonde lambda d'origine !
Une pièce qui vous permettra de libérer dans les règles de l'art votre moteur, d'alléger votre moto, le tout sans utilisation de détrompeur de sonde ou de modifications de cette dernière !
Attention votre système d'échappement ne peut plus être considéré comme homologué une fois décatalysé !